Математика
Программа курса
Разница школьных программ
Как правило, аттестат о полном среднем образовании из стран СНГ не считается эквивалентным австрийскому свидетельству об окончании школы. Это связано с тем, что в Австрии в школе учатся 12 лет, в отличии от стран СНГ с 11-летней школьной программой.
Из-за этой разницы большинству абитуриентов приходится посещать так называемое подготовительное отделение "Vorstudienlehrgang".

В Вене это VWU (Vorstudienlehrgang der Wiener Universitäten).
В Граце это VGUH (Vorstudienlehrgang der Grazer Universitäten und Hochschulen).
В Леобене - Vorstudienlehrgang Leoben.

В рамках подготовительных отделений Вам предстоит сдать несколько предметов, которые прописал Ваш университет. Какие это будут предметы, зависит, в основном, от выбранной Вами специальности.

Здание VWU - Подготовительного отделения в Вене
Если говорить о математике, то в 12-ом классе австрийские школьники проходят программу первого курса технических университетов СНГ.
Большинство тем, входящих в программу подготовительного отделения, не изучаются в школах стран СНГ
Данный курс разделен на 8 блоков и охватывает всю программу подготовительного отделения. Ниже приведены темы, которые будут изучаться в рамках данного курса.
Block 1
  • Описание экзамена
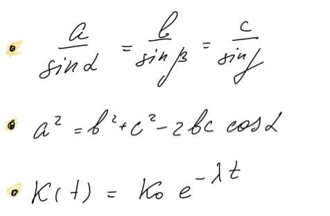
  • Закон синусов и косинусов
  • Задачи на экспоненциальный рост и падение
Block 2
  • Производные / экстремумы
  • Точки на функции, нахождение функции
  • Пределы
Block 3
  • Построение графика функции
Block 4
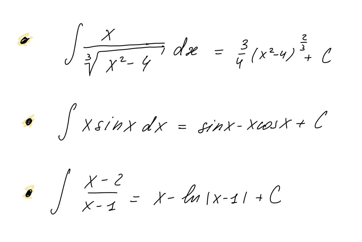
  • Интегралы
Block 5
  • Линейная алгебра
Block 6
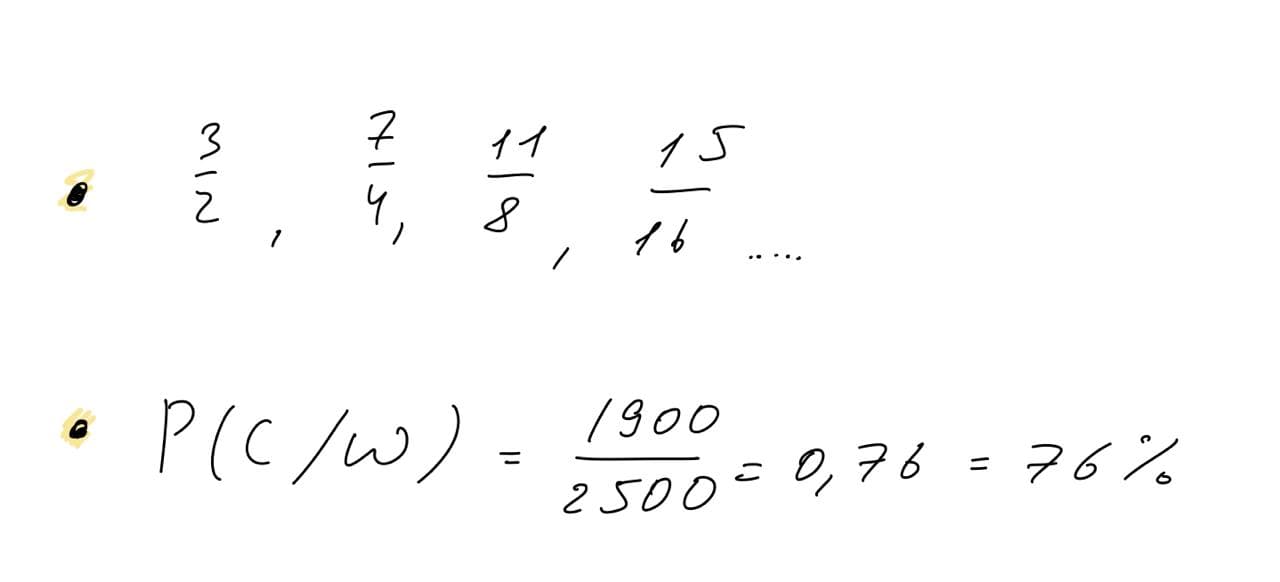
  • Ряды
  • Теория вероятности и комбинаторика
Block 7
  • Статистика
  • Плотность вероятности
  • Метод Ньютона
Block 8
  • Подготовка к экзамену
Платформа для самоподготовки
Tilda Publishing
Что это такое?
Вы получите доступ к платформе за 5 дней до первой лекции.
Доступ к платформе
Для эффективной подготовки к VWU и непосредственно к самому экзамену, помимо посещения лекций, Вам придется выполнять много домашних заданий.

Все домашние задания основаны на экзаменационных вариантах прошлых лет. Там нет ничего лишнего и нет никакой воды, только все самое необходимое для экзамена.

Ко всем домашним заданиям также прилагаются подробные решения.
Мы рекомендуем сначала попробовать решить задачу самому, и только в случае возникновения трудностей подсматривать в решение.
На платформе есть большое количество видео-материалов с дополнительной информацией.

Это необходимо для того, чтобы Вы, во-первых, могли пересмотреть непонятные для Вас темы, а во-вторых, имели возможность проходить материал в темпе, удобном лично Вам.

Всё под рукой - видеозаписи всех лекций, ссылки на конспекты уроков, домашние задания и ответы на Ваши вопросы.
Что еще полезного там есть?
О нашем курсе
Мы подготовим Вас к экзаменам!
1 месяца
Начало 22 ноября 2022
8 лекций
22 академических часа онлайн лекций
450 Евро
Выгодная цена
Презентация курса
В данном видео представлено достаточно подробное описание экзамена по математике в VWU. Также в данной презентации вы сможете увидеть описание нашего подготовительного курса, а именно

  • цели курса
  • сравнение школьных программ Австрии и стран СНГ
  • темы изучаемые на курсе
  • обзор дополнительных материалов курса
Описание подготовительного курса и экзамена
Ниже вы сможете ознакомиться с вырезкой из некоторых занятий. В первом видео мы обсуждаем теорию необходимую для решения задач по геометрии. Во втором видео вводится понятие предела функции и разбираются решения некоторых заданий из экзамена.
Теорема синусов и косинусов
Пределы функций
Отзывы о данном курсе